RTI uses cookies to offer you the best experience online. By clicking “accept” on this website, you opt in and you agree to the use of cookies. If you would like to know more about how RTI uses cookies and how to manage them please view our Privacy Policy here. You can “opt out” or change your mind by visiting: http://optout.aboutads.info/. Click “accept” to agree.
Berzofsky, M. E., Moore, A., Couzens, G. L., Langton, L., & Krebs, C. (2020). Potential survey error due to a panel design: A review and evaluation of the National Crime Victimization Survey. RTI Press. RTI Press Research Report No. RR-0039-2007 https://doi.org/10.3768/rtipress.2020.rr.0039.2007
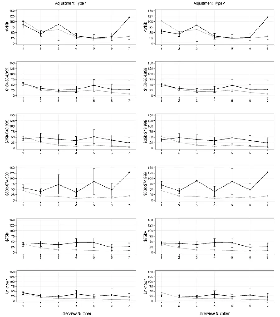
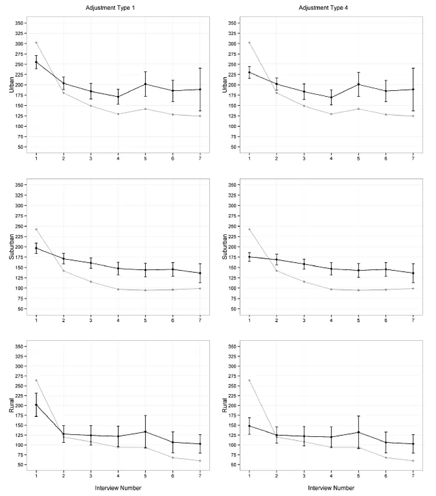
Using data from the National Crime Victimization Survey (NCVS), the authors use a total survey error (TSE) approach to examine three major sources of non-sampling error in longitudinal, mixed-mode surveys: telescoping, mode effects, and fatigue.
The findings determined that telescoping error and fatigue are likely sources of error whereas a mode effect caused by the mixed-mode design is not causing error in the survey estimates.
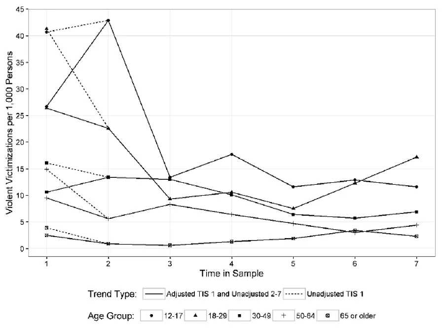
Because it is not possible to identify which respondents were susceptible to telescoping or fatigue, the authors developed a model to show how victimization rates should behave across interview waves. The model was then used to develop adjustment methods to account for the sources of error and assess how well the adjustments met the model expectations.
Even with the model, there is still some subjectivity that comes into determinations about the appropriate adjustment.
Abstract
We use a total survey error approach to examine and make recommendations on how to adjust for non-sampling error in longitudinal, mixed-mode surveys. Using data from the National Crime Victimization Survey (NCVS), we examine three major sources of non-sampling error: telescoping, mode effects, and fatigue. We present an assessment of each source of error from a total survey error perspective and propose alternative adjustments to adjust better for this error. Findings suggest that telescoping and fatigue are likely sources of error in the NCVS, but the use of mixed-modes is not. Furthermore, both telescoping and fatigue are present in longitudinal surveys and accounting for one but not the other results in estimates that under- or overestimate the measures of interest—in this case, the rate of crime in the United States.
RTI’s mission is to improve the human condition by turning knowledge into practice. As an independent, scientific research institute, we share our findings openly - through RTI Press, other peer-reviewed publications, and media – in line with scientific standards and to benefit as many people as possible. RTI Press ensures that our peer-reviewed, evidence-based publications remain available to contribute to scientific advances, even as priorities evolve.