Introduction
Products that contain CBD (an abbreviation for cannabidiol) have become popular over the last couple of years, with easy availability not only in pharmacies, but also in convenience stores, veterinary offices, and online. Yet, widespread misconceptions about CBD’s effects that are furthered by misleading advertisements leave consumers wondering about which sources of information to trust. The purpose of this paper is to provide consumers with a “layperson friendly” introduction to CBD. We begin by defining what CBD is and distinguishing it from other chemicals contained in the cannabis plant, followed by a brief overview of CBD’s actions in the body. We continue with discussions of CBD from scientific, marketing, and regulatory perspectives and conclude with recommendations for cautious consumers. This paper will provide a framework for consumers to understand the rapidly expanding science and evolving regulations in this area.
Overview: Chemicals in Cannabis Plants
Cannabis sativa and Cannabis indica (botanical names of strains of the cannabis plant) contain myriad chemicals, including more than 500 identified cannabinoids and terpenes (Andre et al., 2016; Thomas & ElSohly, 2015). Although phytocannabinoids are found only in the cannabis plant, terpenes are essential oils contained in many types of plants and plant-based foods (e.g., broccoli, lemons, peppermint) and contribute to their characteristic flavors and aromas (Figure 1). Cannabinoids and terpenes are produced in resin-filled trichomes, small hair-like growths located most abundantly in the flowers of unpollinated female cannabis plants. Cannabinoids are believed to have a protective function for the plant, helping to defend the plant against insects, bacteria/fungi, and environmental stresses (Pate, 1994; Premoli et al., 2019). For humans, the plant has served many purposes over the course of history, being used for its medicinal and nutritional properties, in spiritual ceremonies, and as a source of fiber for rope and clothing (Andre et al., 2016; Zuardi, 2006). Cannabis also has a long history of being used for its intoxicating properties (Pollan, 2001).
Figure 1.
42617Terpene-containing plants and foods
Note: Besides cannabis, many other plants and foods contain terpenes, including those pictured here. Top row (l–r): Cannabis sativa, citrus fruits, spicy grass basal. Bottom row (l–r): eucalyptus leaves, cloves, beer hops.
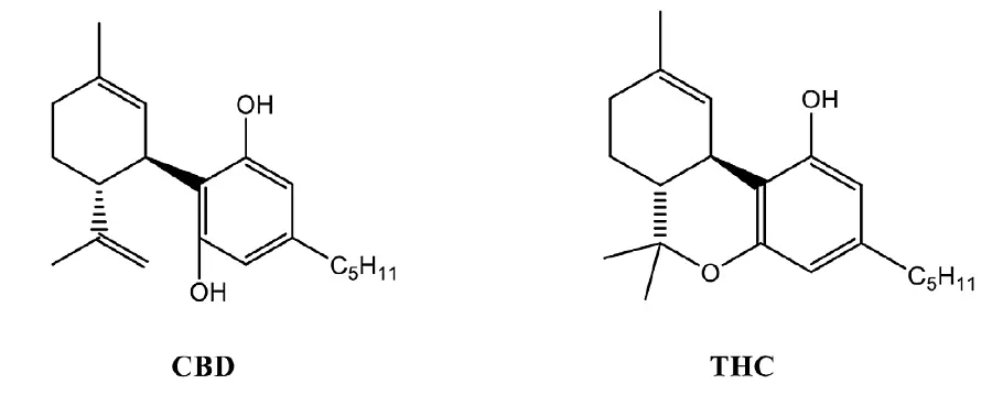
Although cannabis contains numerous chemical constituents, two are key to current discussions of medicinal properties of the plant: Δ9-tetrahydrocannabinol (THC) and cannabidiol (CBD) (Figure 2). THC is primarily responsible for cannabis’s intoxicating effects (reviewed in Gaoni & Mechoulam, 1964), although it may also contribute to therapeutic effects of the cannabis plant (Wilkinson et al., 2003). Through selective breeding and indoor cultivation, THC’s concentration in cannabis strains used specifically for intoxication has increased dramatically in recent years (ElSohly et al., 2016). A flowering top (or “bud”) of a Sinsemilla (female, nonfertilized) cannabis strain high in THC may be expected to contain levels of up to 20 to 25 percent total THC (primarily in its acid form); relatively simple processes can be used to concentrate the THC into hashish or hash oil preparations exceeding 50 percent total THC content (Chandra et al., 2019; Jikomes & Zoorob, 2018; Smart et al., 2017). More complex extraction processes or purification procedures can produce cannabis extracts with THC concentrations of 68 percent or higher that are increasingly encountered in the consumer market (Hädener et al., 2019; Raber et al., 2015; Smart et al., 2017; Stogner & Miller, 2015). Conversely, high-CBD strains may contain 10.9 to 18.9 percent CBD (primarily in its acid form), with minimal THC content (Rahn, 2018). Simple processing procedures also may be used to increase CBD concentrations in products. Unlike THC, CBD does not produce intoxication (Schoedel et al., 2018); however, it does reach the brain when ingested, smoked, or vaped at high enough concentrations (Alozie et al., 1980). Therefore, CBD may induce changes in functioning of the central nervous system.
Cannabis (and its extracts) marketed as “medical” may contain THC, CBD, or a combination of both, as well as other minor cannabinoids and terpenes. Cannabis marketed as “recreational” typically contains high concentrations of THC, often with very little CBD. The degree to which the blend of chemicals contained in a cannabis strain contribute to its pharmacological or therapeutic effects directly or through modulation of the activity of THC or CBD (i.e., the “entourage effect,” Russo, 2011) is an area of active research and has not yet been resolved.
In a freshly harvested cannabis plant, THC and CBD are present in their acidic forms (THCA and CBDA, respectively), and it is primarily when they are heated that the decarboxylation necessary for them to be converted to their more commonly known “free” (and pharmacologically active) forms occurs. Heating may occur during smoking/vaping or it may occur during the process of extraction from the plant, as in the creation of CBD oil. Although heating cannabis to high temperatures during extraction converts the acidic cannabinoids into active compounds, it also may remove many of the volatile terpenes (Romano & Hazekamp, 2013). Methods of extraction are variable, but the most common procedures rely on using a solvent to separate and concentrate the desired chemicals from the plant material. Solvents typically used for extraction include compressed gases (e.g., CO2 in supercritical fluid extraction processes or butane) and other liquids (e.g., ethanol, olive oil). Ideally, following extraction, the resulting oil is purified to remove the solvent and any contaminants (e.g., heavy metals, pesticides) that may have been extracted from the plant along with the cannabinoids.
We will not discuss the intricacies of cannabinoid extraction and purification techniques, as they are beyond the scope of this paper. The important points to know about the extraction process are that (1) extraction aims to purify and concentrate (and may decarboxylate) the cannabinoids present in the plant material, resulting in higher cannabinoid amounts per unit volume than in the plant; (2) other undesired substances may also be extracted and concentrated during the process; and (3) in the absence of adequate purification, contaminants (including the solvent) may remain in the final product.
CBD may also be extracted from “hemp” plants. Although industrial hemp is a variant of Cannabis sativa, selective breeding has resulted in divergence between plants used for fiber and those strains consumed by humans. For example, hemp plants that are bred for industrial uses (e.g., fiber for textiles or rope) have a different appearance (e.g., they are taller and more fibrous stalks with thinner leaves) and typically do not have a high cannabinoid content (Figure 3). In contrast, “hemp” that is selectively bred for consumer use may have resin-rich flowers that contain high concentrations of CBD (acid form), and the flowers of cannabis plants bred for recreational use usually contain high concentrations of THC (acid form) (Andre et al., 2016; VanDolah et al., 2019). In the United States, the classification of “hemp” is restricted legally to plants that contain less than 0.3 percent THC, although the CBD concentration of hemp is not controlled. However, if not carefully purified following extraction, hemp-derived CBD will invariably contain a modicum of THC due to concentration during extraction (see explanation in previous paragraph), which may affect its legality under federal law (Hilderbrand, 2018).
Hemp seeds (or uncontaminated oil from the seeds) do not contain CBD or THC but are rich in omega-3 and omega-6 polyunsaturated fatty acids in a nutritionally favorable 3:1 ratio (Siano et al., 2018). The US Food and Drug Administration (FDA), which is charged with ensuring the safety of the nation’s food supply (among its other responsibilities), classifies hemp seed and oil as “generally recognized as safe” (GRAS) food additives (https://www.fda.gov/food/cfsan-constituent-updates/fda-responds-three-gras-notices-hemp-seed-derived-ingredients-use-human-food). Despite the recent upsurge of interest in CBD-infused foods, CBD does not share a GRAS designation as of this writing. Hence, consumers should not assume that consumption of CBD in a food or beverage product is recognized by the FDA as safe.
Figure 3.
42613Comparison of “hemp” and “marijuana” strains of cannabis plants
Note: The industrial “hemp” strain of cannabis (panel A) is taller and has more fibrous stalks with thinner leaves. It is typically cultivated outdoors. The “marijuana” strain of cannabis (panel B) is characterized by its resin-rich flowers and is often cultivated indoors under strictly controlled light and temperature conditions.
In the subsequent sections of this manuscript, we briefly describe the effects of CBD in the body and then examine CBD from scientific and marketing perspectives. We discuss the legal/regulatory status of CBD in the United States and conclude with recommendations for policy.
Cannabidiol’s Effects in the Body
CBD is a highly lipid-soluble chemical with relatively low bioavailability (as low as 6 percent), especially when administered orally (Grotenhermen, 2003; Lucas et al., 2018). Low bioavailability means either that low amounts of CBD are absorbed into the bloodstream or that large amounts of CBD are metabolized by the liver before reaching the presumed site of action (e.g., the brain or other body organ). To compensate for this rapid metabolism, an orally administered dose must be correspondingly increased. Among the factors that may affect bioavailability is the presence of food in the gastrointestinal tract, with high-fat meals being associated with greater CBD absorption (Birnbaum et al., 2019; Taylor et al., 2018). CBD absorption into the plasma is also more efficient via smoking/vaping (estimated 31 percent bioavailability; [Agurell et al., 1986; Grotenhermen, 2003; Lucas et al., 2018; Ohlsson et al., 1986]), as this route of administration avoids exposure to gastric juices and first-pass metabolism by the liver and provides greater opportunity for the parent compound to reach its site of action. However, vaping and smoking CBD are associated with their own sets of disadvantages and risks, which several other studies have described (Callaghan et al., 2013; Kenne et al., 2017).
After oral administration, CBD is extensively metabolized, primarily by enzymes in the liver (Jiang et al., 2011). Drug-drug interactions may occur with CBD because other drugs (e.g., antiepileptics) that are metabolized by the same enzymes may compete with CBD for access to the enzymes (Gaston et al., 2017; Lucas et al., 2018). The most abundant CBD metabolite is 7-carboxy-CBD; lesser metabolites also form (Taylor et al., 2018). The degree to which these metabolites may have action(s) on their own has not been fully investigated. The primary route of elimination is through the feces (Grotenhermen, 2003; Lucas et al., 2018; Taylor et al., 2018). The time course of a single dose of oral CBD shows considerable variability within and among individuals, with a half-life ranging between 1 and 3 hours and time to maximal plasma level of approximately 4 to 5 hours (Millar et al., 2019; Taylor et al., 2018).
The mechanism by which CBD may produce any therapeutic effects is unclear. Although the chemical structure of CBD is somewhat similar to that of THC, CBD binds only poorly to CB1 and CB2 receptors (Ki = 151 and 4582 nM, respectively, with lower numbers indicating higher affinity) (Husni et al., 2014). These receptors are part of the body’s endocannabinoid system, a system that is intimately involved in physiological processes related to the maintenance of homeostasis, including appetite regulation, energy balance, pain sensation, response to stress, and sleep (Di Marzo & Petrosino, 2007; Riebe & Wotjak, 2011; Rodríguez de Fonseca et al., 2005; Ruiz de Azua & Lutz, 2019).
CB1 and CB2 receptors are the two identified receptors in this system and are activated by cannabinoids such as anandamide and 2-arichidonoylglycerol that are naturally produced in the body and brain. Although CB1 receptors are widely distributed in the brain and localized in several peripheral organs (e.g., lungs, liver), CB2 receptors are primarily found in the periphery, including the immune system (Galiègue et al., 1995; Kaminski, 1996). THC’s direct activation of CB1 receptors in the brain results in the characteristic subjective effects (e.g., intoxication) associated with the use of cannabis (Huestis et al., 2001; Wiley et al., 1995). CBD does not have a similar direct effect at CB1 or CB2 receptors, but it may affect the endocannabinoid system indirectly by attenuating anandamide metabolism, resulting in persistence of the endocannabinoid’s interaction with the receptor (De Petrocellis et al., 2011). Unlike THC, however, receptor activation by endocannabinoid release in the brain does not result in psychoactive effects. Hence, CBD is not associated with such effects (Babalonis et al., 2017; Schoedel et al., 2018).
Based upon in vitro research, primarily in cellular models, CBD has also been reported to modulate activity of cannabinoid receptors without binding directly to the same molecular recognition site as THC or the endocannabinoids (i.e., allosteric modulation, Tham et al., 2019) and to act through other non-cannabinoid receptor systems, including transient receptor potential vanilloid 1 type (TRPV1) channels (Costa et al., 2004; Sagredo et al., 2007), peroxisome proliferator-activated receptors (PPAR) gamma (Esposito et al., 2011; Hegde et al., 2015; Hind et al., 2016), adenosine (Carrier et al., 2006; Mijangos-Moreno et al., 2014), and serotonin (Hind et al., 2016; Rock et al., 2012; Sonego et al., 2016). Through these mechanisms or other as-yet-unidentified mechanisms, CBD produces its pharmacological effects. Few studies, however, have provided conclusive links between CBD’s demonstrated therapeutic effects and verified pharmacological mechanisms underlying the effect (Ibeas Bih et al., 2015). Consequently, statements implying that CBD produces effects through its action on homeostatic processes mediated by the endocannabinoid system are misleading. CBD’s effects on this system are indirect at best and, as yet, have been demonstrated primarily in molecular models.
State of the Science
Although it has been increasing, rigorous research on the therapeutic effects of cannabinoids in humans remains sparse. In part, research in the United States has been hampered by continued classification of cannabis constituents (including CBD) as Schedule I drugs. According to the DEA classification scheme, a Schedule I drug does not have any defined medical uses. Regulations controlling the transportation and use of Schedule I drugs are strict, even when such drugs are being used for research. Further, state-level legalization of cannabis does not negate the federal prohibition, because researchers working in institutions that receive federal funds are bound by the terms of federal law. However, rigorous research with cannabis constituents, including CBD, is crucial for decreasing false claims, revealing efficacy where it exists, and determining potentially harmful effects. Consumers need knowledge of costs and benefits of CBD use to make informed decisions about whether or not to use CBD. To this end, we summarize results of the scientific research that has examined pharmacological effects of CBD, emphasizing studies performed with human subjects.
Despite the overwhelming amount of misinformation that plagues the CBD market, the unsupported claims about CBD’s therapeutic potential are not, by themselves, evidence that CBD does not have medicinal effects. Indeed, in June 2018, the FDA approved Epidiolex, a purified plant-based CBD extract, for use as a treatment for Dravet syndrome and Lennox–Gastaut syndrome, severe forms of childhood epilepsy (US Food and Drug Administration, 2018). Pursuant to this approval, the efficacy of Epidiolex for treatment of severe pediatric epilepsy was confirmed in several randomized placebo-controlled clinical trials and open-label studies (O’Connell et al., 2017; Szaflarski et al., 2018). Although the toxicity profile for Epidiolex was generally favorable, all drugs have some side effects, and Epidiolex is no exception. Common adverse effects reported after use of Epidiolex include drowsiness, diarrhea, and elevation of transaminases (i.e., liver enzymes) (Huestis et al., 2019; Rubin, 2018; White, 2019). CBD may also interact with other drugs, which may result in the need to adjust dosing regimens (Gaston et al., 2017; Huestis et al., 2019; Lucas et al., 2018; Morrison et al., 2019). In addition to Epidiolex, Sativex (nabiximols), a cannabis plant-based oral spray that contains a 1:1 ratio of THC:CBD, is approved in Canada, Australia and parts of Europe for treating conditions such as spasticity associated with multiple sclerosis (Collin et al., 2007; Giacoppo et al., 2017). Dronabinol (Marinol), an FDA-approved synthetic form of THC, has also been available for years as a prescription medicine for conditions such as chemotherapy-induced nausea and vomiting and AIDS wasting syndrome.
Research with CBD in animal models suggests that there are other potential therapeutic effects, including analgesia, anti-anxiety effects, antipsychotic effects, neuroprotective effects, anti-inflammatory effects, and cancer treatment (Crippa et al., 2018; García-Arencibia et al., 2007; Gomes et al., 2014; Pellati et al., 2018; Premoli et al., 2019; Ward et al., 2011). However, preclinical studies of CBD effects have been rather sporadic over the years, and support for these specific therapeutic effects of CBD is not a coherent and convincing body of work. In addition, demonstrating an effect in an animal model of a disease or disorder is only one of the initial steps in drug development. Many drug candidates that show promise preclinically are not effective in humans and/or have unacceptable adverse effects (Henderson et al., 2013; Pound & Ritskes-Hoitinga, 2018).
A handful of recent well-controlled clinical studies have examined the effects of CBD in humans for conditions other than epilepsy. For example, Hurd et al. (2019) evaluated the effects of acute and repeated administration of CBD in abstinent patients diagnosed with heroin use disorder. Patients were assigned randomly to treatment groups and received placebo or one of two doses (400 or 800 mg) of CBD. Neither the patient nor the direct care medical staff knew which substance the patient received. Results showed that patients who received CBD reported fewer symptoms of anxiety and less craving induced by cues previously related to drug use, which were the two primary dependent measures. Although results of one study are not conclusive proof that CBD is effective in the treatment of heroin use disorder, the reduction of symptoms associated with relapse that was noted in this well-controlled study is promising. Similarly, Masataka (2019) reported anxiety reduction in another double-blind placebo-controlled study conducted in adolescents diagnosed with social anxiety disorder.
CBD has also been evaluated as an adjunct to regularly prescribed antipsychotics in patients with schizophrenia (McGuire et al., 2018). This randomized, double-blind, placebo-controlled clinical trial was conducted across multiple medical facilities. Patients in the CBD treatment group showed significant improvement on a scale measuring positive symptoms of psychosis, suggesting that it may be effective as an adjunctive therapy when administered with an antipsychotic. Its effectiveness as a stand-alone antipsychotic was not evaluated.
With the exception of a few published results of clinical investigation, the extant scientific literature does little to illuminate the issue of CBD efficacy for the many conditions it is purported to treat. Several retrospective chart reviews, case reports, and survey data suggest that CBD may have beneficial therapeutic effects in the treatment of some conditions, including anxiety, pain, colitis, and sleep disruptions (Bitencourt & Takahashi, 2018; Corroon & Phillips, 2018; Couch et al., 2018; Crippa et al., 2018; Shannon et al., 2019); other reviews suggest that current evidence of CBD efficacy in the treatment of these disorders is only modest at best, and tenuous in many cases (Black et al., 2019; Kuhathasan et al., 2019; White, 2019). For example, many of the studies described in these reviews are compromised by their small sample sizes, inconsistent results across studies, experimental induction of condition (e.g., anxiety) versus treatment of an existing disorder, and/or lack of important controls (e.g., no placebo comparison, reliance on self-report data, no masking of treatment condition to avoid unintentional bias) (Kuhathasan et al., 2019; Mandolini et al., 2018; Millar et al., 2019; White, 2019). Notably, including a control group that does not receive an active drug is necessary to evaluate any drug’s effectiveness (Dobrilla & Scarpignato, 1994; Munnangi & Angus, 2019). This control is especially critical for eliminating the potential influence of placebo effects in causing any beneficial therapeutic effects observed in CBD trials; placebo effects tend to be marked with cannabis-derived medications (Gertsch, 2018).
In summary, additional research, larger scale trials, and replication studies are required to consider CBD an effective treatment for many of the various disorders in which its use is proposed (Kuhathasan et al., 2019; Lötsch et al., 2018; Shannon et al., 2019; White, 2019). To date, controlled studies of CBD for therapeutic indications in humans (other than epilepsy; e.g., Devinsky et al., 2018, 2019) are rare, although this is changing rapidly with recent loosening of legal restrictions and societal acceptance. For example, ClinicalTrials.gov lists several clinical trials in various phases that propose examining CBD as a treatment for several conditions, including tremor, anxiety, pain, and substance abuse disorders (https://clinicaltrials.gov/ct2/home). Results from these trials and from other well-controlled research will distinguish between conditions for which CBD shows promise as an effective remedy and those for which it is merely a profitable elixir without true therapeutic benefit.
Marketing Claims and Risk of Product Contamination
CBD was originally isolated from cannabis in the 1940s by Roger Adams (Adams et al., 1940). Intensive consumer interest in the properties of CBD is relatively recent, however, especially when compared with the long and storied history of cannabis and the persistent fascination with the psychoactive effects of THC. In the last few years, the CBD industry has become increasingly lucrative and was valued at $170 million in 2016; it is forecast to be valued at several billion dollars by 2023 (Corroon & Phillips, 2018). CBD products are widely available for purchase from both online and brick-and-mortar stores, including pharmacies, gas stations, convenience stores, and pet supply stores. Available formulations include oils, lotions, and tinctures as well as “vape juice” (i.e., liquids for fillable electronic cigarettes). In addition, periodic media reports suggest that the food and beverage industry has become interested in CBD-infused products, ranging from beverages (e.g., tea, coffee, wine) to snack foods and fast-food cheeseburgers.
Given the diverse scope of these products, CBD may be described by product marketers as a dietary supplement, a food additive, a cosmetic ingredient, or a drug, each of which would be regulated differently by the FDA. A drug undergoes a rigorous FDA approval process, with required demonstration of its relative safety and efficacy for the treatment of condition(s) for which it is approved. CBD went through this process in 2018 when it was approved as a drug for severe pediatric epilepsy and is currently undergoing clinical trials for other conditions. While FDA drug approval focuses on efficacy, regulations governing dietary supplements, cosmetics and food/beverages focus primarily on post-market safety. An added complication in the case of CBD is its history as a Schedule I drug under the DEA scheme; this classification generally removes a chemical from the FDA’s purview.
The lack of regulatory structure around the sale and legal status of CBD has contributed to the current proliferation in CBD products. CBD product manufacturers have taken advantage of the federal legal gray area regarding the manufacturing, sale, and distribution of these products. However, because CBD is now the active ingredient of an approved drug (i.e., Epidiolex, as described in the previous section), the FDA has started to use its authority over drug regulation to stop product promoters from making unsubstantiated claims about potential therapeutic efficacy of CBD-containing products (reviewed in Mead, 2019).
Marketers, however, can phrase their advertisements to remain within the emerging regulatory framework but also take advantage of the public’s willingness to embrace CBD as a putative treatment for a variety of conditions, including anxiety, insomnia, pain, neuroprotection, and cancer. For example, marketing on websites may rely on consumer reviews rather than direct claims by the seller (the latter of which could bring FDA censure). Further, company websites may only post positive reviews and omit any negative comments. Alternatively, CBD marketers may refer to other websites that promote CBD use for various conditions but do not sell it. Another equivocal marketing strategy is to conflate the results of scientific research that examined the effects of THC or of cannabis (which contains THC as well as CBD and other cannabinoids) with effects of CBD alone.
In addition to false or misleading claims of therapeutic efficacy, other issues related to sparse federal regulation of these products have arisen. For example, inaccurate labeling is not uncommon, with several studies reporting that the CBD concentration listed on the label of a commercially available product significantly diverged from the concentration determined by independent laboratories experienced in analyzing cannabinoid content (Bonn-Miller et al., 2017; Pavlovic et al., 2018; Vandrey et al., 2015; White, 2019). Another study found that CBD concentration was not consistent across batches of the same product purchased at different times, which conceivably could complicate dosage decisions for treatment of a chronic condition (White, 2019). Although some companies advertise that their products are laboratory-tested for CBD content, these claims often lack verification because CBD products are not currently listed in the United States Pharmacopeia, an annual index of drugs and products that meet defined quality standards for identity, strength, purity, and similar characteristics. Even for products that do contain reliable quantities of CBD, however, concentrations may not be high enough to produce the desired pharmacological effects, especially with oral consumption (see discussion of bioavailability in previous section).
This point also highlights issues that plagues all cannabis products used for medical purposes: the most common sources of information about appropriate dosing and adverse effects do not include trained health professionals, and dosage is not determined empirically through scientific study. Rather, consumers consult dispensary or retail staff, friends, online sites, or media reports to determine dosing. In states where a medical referral is needed to purchase medical cannabis, doctors write a recommendation that allows the patient to purchase products labeled “medical” in cannabis dispensaries, but dosage is not specified as it is for prescription drugs. When treatment with CBD does not achieve the desired results, the primary losses may be time and money; however, if a consumer chooses to use CBD to treat a serious or potentially terminal condition (e.g., cancer), the consequences may be correspondingly more severe, including progression of the disease or death.
A final consideration related to the absence of effective CBD regulation is product contamination. Contamination may occur when there is inadequate purification following CBD extraction. Residual solvent or its byproducts, including carcinogenic polycyclic aromatic hydrocarbons, are contaminants identified in CBD products that likely result from insufficient removal of the solvent extractor (Romano & Hazekamp, 2013; White, 2019). Because CBD is extracted from a plant, it is also susceptible to sources of unintentional contamination that may occur with plant-based products, including the introduction of pesticides, heavy metals, and microorganisms (e.g., bacteria, fungus) (Dryburgh et al., 2018; Lenton et al., 2018; Roberts, 2019). In the absence of purification, the extraction process may result not only in both enhanced CBD content and increased concentration of pesticide and other contaminants. When pesticide contamination does occur, high heat used during the extraction process or during vaping may alter the chemical composition of the pesticide, which could change its toxicity profile—a problem that does not typically occur with pesticides and food crops. The legal/regulatory quagmire surrounding CBD at the federal level complicates adequate redress for these problems, although states are beginning to intervene with developing guidelines for pesticides and purification (Seltenrich, 2019). Finally, although rare, there have been documented instances of CBD products being contaminated with synthetic cannabinoids (i.e., extremely potent THC-like compounds produced in illicit laboratories) (Horth et al., 2018).
Regulation/Legal Status of CBD
In the United States, CBD’s current legal status is in flux because of complex and conflicting laws and a multilayered system of federal and state regulation. In general, however, two threshold considerations govern the answer to the overall question, “Is CBD legal?”: (1) whether the CBD substance or product is derived from “hemp” or from THC-containing “marijuana;” and (2) whether one is answering this question within the context of federal or state law (Haffajee et al., 2018). This circuitous route to determining the legality of CBD is based on how federal and state laws have evolved. Typically, lawmaking authority operates in a hierarchy, such that the higher authority controls when the laws of two jurisdictions conflict (USCS Const. Art. VI, Cl. 2). Therefore, if both a federal and state law govern a situation, the federal law usually prevails (USCS Const. Art. VI, Cl. 2). Similarly, a conflict between a state and local law typically results in the state law prevailing (USCS Const. Art. VI, Cl. 2). We consider each of these two major questions in terms of possession and use of CBD by an individual user.
Under federal law, CBD products that are derived from “marijuana” are illegal to buy, use, or possess, unless an individual has a Schedule I license (O’Connor & Lietzan, 2019). However, CBD products that are derived from “hemp,” defined under federal law as cannabis plants that contain less than 0.3 percent THC by dry weight, will be regulated differently in the near future, pursuant to the new authority created under the 2018 Farm Bill. Two things must happen before the cultivation, sale, and distribution of hemp-derived products will formally begin: (1) the USDA must finalize its regulations and guidelines that will oversee the cultivation of hemp and the manufacturing of hemp-derived products; and (2) any state or Indian tribes that wish to assert “primary regulatory authority” over the cultivation, manufacturing, sale, and distribution of hemp within their jurisdiction must draft these plans and submit them to the Secretary of Agriculture for approval (84 Fed. Reg. 58522 at 58523 [10/31/2019]).
Once fully implemented, the 2018 Farm Bill will legalize the cultivation of hemp and hemp-derived products and will remove its constituents (including CBD) from the list of substances scheduled under the federal Controlled Substances Act (Agriculture Improvement Act of 2018, 115 P.L. 334, 132 Stat. 4490 [2018]). Implementation of the law requires several steps. For example, the US Department of Agriculture (USDA) must develop specific regulations to govern how hemp, as a crop, must be grown to comply with federal law. Until full implementation of the 2018 Farm Bill, the 2014 Farm Bill is the controlling law, meaning that only hemp-derived CBD products that comply with the cultivation of “industrial hemp” under a particular state’s pilot research program may be sold under federal law (USDA, 2019). Because the DEA continues to classify both THC and CBD as Schedule I substances (US DEA, US Drug Enforcement Administration, n.d.), hemp-derived CBD products remain illegal under federal law at the time of this writing, although this law has not been stringently enforced, even in states without laws that allow CBD use for medical purposes.
Under state law, the legality of CBD products varies widely depending on the laws governing medical or recreational cannabis in a specific state. To date, THC-containing medical cannabis has been legalized in 33 states and the District of Columbia, and 11 of those states and the District of Columbia have also legalized recreational cannabis. For the most part, these states’ medical and recreational cannabis laws have focused on limiting the amount of THC within various cannabis-infused products and requiring certain disclosures that warn and inform consumers about the risks of ingesting these THC-containing products. Much less attention has been focused on limiting or even disclosing the amount of CBD contained within the products. Some medical or recreational cannabis states that do mention and specifically allow CBD products classify these CBD products as separate products with specific limits for CBD and THC and require a particular ratio of CBD to THC. For example, Washington State allows and regulates “high CBD compliant products.”
Although most of the 17 US states that have not legalized either medical or recreational cannabis do allow either low-THC or CBD-only products (defined according to these states’ laws), an important difference vis-à-vis these states and states that have legalized medical or recreational cannabis is that the former have not created a comprehensive regulatory framework that formally regulates and enforces the states’ laws with respect to the cultivation, manufacture, sale or distribution of these products. For example, many of these states do not formally require these low-THC or CBD-only products to be tested, labeled in a specific way, or registered within a seed-to-sale tracking system that enables the state to monitor a product at each stage of its production.
Federal and state laws dealing with cannabis, in general, and with CBD, in particular, vary widely see Table 1). With respect to hemp-derived CBD products, the 2018 Farm Bill, once fully implemented, may resolve many of the conflicts between federal and state statutes concerning the legality of CBD; however, laws that deal with CBD derived from THC-containing cannabis will continue to conflict. Further, enforcement of cannabis laws requires analysis of confiscated material which, in turn, relies upon identification of chemicals contained in the material. Determining the source of CBD (i.e., “hemp” vs. “marijuana”) is not possible with traditional methods of analysis. Instead, material with THC content under 0.3 percent is presumed to be derived from hemp, regardless of its actual source. The development of a comprehensive national policy on cannabis is needed to resolve the many confusing issues surrounding regulation of cannabis and its constituents.
Table 1.
42763Summary of CBD current legal status under federal and state law
Conclusions and Recommendations
CBD is not an inert substance. Like any ingested chemical, it has the potential to alter the functioning of physiological systems, and preliminary evidence suggests that it does. Whether it does so in a manner that results in clinically significant improvement of the various disorders for which it is promoted is still an open question. Certainly, the evidence for CBD efficacy in treating defined forms of severe pediatric epilepsy is strong and offers hope for many families. Although only further research will provide conclusive evidence of other therapeutic effects of CBD, increased regulatory control of the CBD market is needed now, a situation that the FDA recognized in its sponsoring of a recent public hearing on “Scientific Data and Info About Cannabis Products.” Indeed, the lack of regulatory structure around the sale and legal status of CBD has contributed to the current morass of product proliferation. Until new regulations are enacted to ensure purity and label accuracy, consumers should balance any presumed, but unproven, benefits against potential risks associated with using CBD products of unknown quality.